机器学习面试笔试知识点-线性回归、逻辑回归(Logistics Regression)和支持向量机(SVM)
@[TOC](机器学习面试笔试知识点-线性回归、逻辑回归Logistics Regression和支持向量机SVM)
微信公众号:数学建模与人工智能
一、线性回归
1.线性回归的假设函数

2.线性回归的损失函数(Loss Function)
MSE(均方误差)

通过梯度下降法或正规方程
求出使得代价函数最小的参数
两者区别

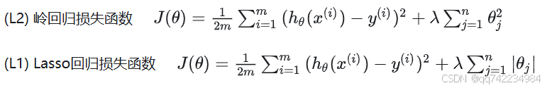
3.简述岭回归与Lasso回归以及使用场景
目的
本质:约束(限制)要优化的参数
这两种回归均通过在损失函数中引入正则化项来达到目的:
L1正则化容易得到稀疏矩阵
4.什么场景下用L1、L2正则化
L2正则化会使参数的绝对值变小,增强模型的稳定性(不会因为数据变化而产生很大的震荡);而L1正则化会使一些参数为0,可以实现特征稀疏,增强模型解释性。
5.什么是ElasticNet回归
综合了L1正则化项和L2正则化项:

6.ElasticNet回归的使用场景
使用Lasso回归太过(太多特征被稀疏为0),而岭回归正则化的不够(回归系数衰减太慢)的时候,可以考虑ElasticNet回归。
L1正则化和L2正则化分别是假设参数服从laplace分布和高斯分布。
线性回归中的残差服从均值为0的正态分布。
L2:权重衰减
7.线性回归要求因变量服从正态分布?(持保留态度)
假设线性回归的噪声服从均值为0的正态分布。 当噪声符合正态分布N(0, )时,因变量则符合正态分布N(ax(i)+b, ),其中预测函数y=ax(i)+b。这个结论可以由正态分布的概率密度函数得到。也就是说当噪声符合正态分布时,其因变量必然也符合正态分布。
在用线性回归模型拟合数据之前,首先要求数据应符合或近似符合正态分布,否则得到的拟合函数不正确。
二、逻辑回归(Logistics Regression)
1.本质:极大似然估计
逻辑回归是用来做分类算法的。把线性回归的结果Y代入一个非线性变换的Sigmoid函数中,即可得到[0,1]之间取值范围的数S,S可以把它看成是一个概率值,如果设置概率阈值为0.5,那么S大于0.5可以看成是正样本,小于0.5看成是负样本,就可以进行分类。
2.激活函数:Sigmoid

3.损失函数:对数损失函数(log loss)

公式中的 y=1 表示的是真实值为1时用第一个公式, y=0 表示真实值为0时用第二个公式计算损失。
为什么要加上log函数呢?
当真实样本为1时,但h=0,那么log0=∞,即对模型最大的惩罚力度;当h=1时,那么log1=0,相当于没有惩罚,也就是没有损失,达到最优结果。把上面损失函数写成统一的形式:

4.代价函数:交叉熵(Cross Entropy):

最后按照梯度下降法,求解极小值点,得到想要的模型效果。
5.可以进行多分类吗?
可以 ,从二分类问题过度到多分类问题(one vs rest),思路步骤如下:
- 将类型class1看作正样本,其他类型全部看作负样本,可得到样本标记类型为该类型的概率p1。
- 然后再将另外类型class2看作正样本,其他类型全部看作负样本,同理得到p2。
- 以此循环,我们可以得到该待预测样本的标记类型分别为类型class i时的概率pi,最后取pi中最大的那个概率对应的样本标记类型作为待预测样本类型。

总之还是以二分类来依次划分,并求出最大概率结果。
6.逻辑回归优缺点
优
- 能以概率的形式输出结果,而非只是0,1判定。
- 可解释性强,可控度高,训练快。
- 因为结果是概率,可以做ranking model(排序模型)。
缺
- 对模型中自变量多重共线性较为敏感。
7.逻辑回归有哪些应用
- CTR预估/推荐系统的learning to rank/各种分类场景。
- 某搜索引擎厂的广告CTR(点击率)预估基线版是LR。
- 某电商搜索排序/广告CTR预估基线版是LR。
- 某电商的购物搭配推荐用了大量LR。
- 某现在一天广告赚1000w+的新闻app排序基线是LR。
8.逻辑回归为什么要对特征进行离散化。
- 非线性!逻辑回归属于广义线性模型,表达能力受限;单变量离散化为N个后,每个变量有单独的权重,相当于为模型引入了非线性,能够提升模型表达能力,加大拟合; 离散特征的增加和减少都很容易,易于模型的快速迭代;
- 速度快!稀疏向量内积乘法运算速度快,计算结果方便存储,容易扩展;
- 鲁棒性!离散化后的特征对异常数据有很强的鲁棒性:比如一个特征是年龄>30是1,否则0\
- 如果特征没有离散化,一个异常数据“年龄200岁”会给模型造成很大的干扰;
方便交叉与特征组合:离散化后可以进行特征交叉,由M+N个变量变为M*N个变量,进一步引入非线性,提升表达能力;
简化模型:特征离散化以后,起到了简化了逻辑回归模型的作用,降低了模型过拟合的风险。
若要求多分类,需要把sigmoid换成softmax
实战中,设置
损失函数、代价函数、目标函数
损失函数(Loss Function )是定义在单个样本上的,算的是一个样本的误差。
代价函数(Cost Function )是定义在整个训练集上的,是所有样本误差的平均,也就是损失函数的平均。
目标函数(Object Function)定义为:最终需要优化的函数。等于经验风险+结构风险(也就是Cost Function + 正则化项)。对于目标函数来说在有约束条件下的最小化就是损失函数。
机器学习中的最优化方法
1.梯度下降法
优化思想:用当前位置负梯度方向作为搜索方向。
2.牛顿法
使用函数f(x)的泰勒级数的前几项来寻找f(x)的根
优:以本质上看,牛顿法是二阶收敛,梯度下降是一阶收敛,所以牛顿法更快。
缺:牛顿法是一种迭代算法,每一步都需要求解目标函数的Hesssian矩阵的逆矩阵,计算较复杂。
3.拟牛顿法
本质思想:改善牛顿法内次需要求解复杂的Hessian矩阵的逆矩阵的缺陷,它使用正定矩阵来近似Hessian(黑塞)矩阵的逆,从而简化运算的复杂度。
4.共轭梯度法
仅需利用一阶导数信息,但克服了梯度下降法收敛慢的缺点,又避免了牛顿法需要存储和计算Hesse矩阵的逆的特点。
三、支持向量机(SVM)
一种二类分类模型,其基本模型定义为特征空间上的间隔最大的线性分类器,其学习策略便是间隔最大化,最终可转化为一个凸二次规划问题的求解。
函数间隔
给定一个超平面(w,b),定义该超平面关于样本点 的函数间隔为: ,定义该超平面关于训练集T的函数间隔为:

几何间隔(geometrical margin)

1.损失函数:合页损失函数(Hinge loss)
SVM的损失函数就是合页损失函数+正则项

2.为什么要将求解SVM的原始问题转换为其对偶问题?
- 对偶问题更容易求解,
- 可以自然引入核函数,进而推广到非线性分类问题。
(若原问题与对偶问题均存在可行解,则两者均存在最优解)。
3.支持向量
距离超平面最近的且满足一定条件的几个样本点。
4.带核的SVM为什么能分类非线性问题
核函数的本质是两个函数的内积,通过核函数将其映射到高维空间,在高维空间非线性问题转换为线性问题,SVM得到超平面是高维空间的线性分类平面,其分类结果也视为低维空间的非线性分类结果。
5.SVM的应用
SVM在很多诸如文本分类,图像分类,生物序列分析和生物数据挖掘,手写字符识别等领域有很多的应用。
6. 如何选择核函数?
- 如果特征的数量大到和样本数量差不多,则选用LR或者线性核的SVM;
- 如果特征的数量小,样本的数量正常,则选用SVM+高斯核函数;
- 如果特征的数量小,而样本的数量很大,则需要手工添加一些特征从而变成第一种情况。
7.LR和SVM的联系与区别
相同点
- 如果不考虑核函数,都是线性分类器。
- 都是监督学习算法。
- 都是判别模型。判别模型不关心数据是怎么生成的,它只关心信号之间的差别,然后用差别来简单对给定的一个信号进行分类。
不同点
- (本质区别):目标函数不同,逻辑回归是log loss,SVM采用的是hinge loss(铰链损失函数),这两个损失函数的目的都是增加对分类影响较大的数据点的权重,减少与分类关系较小的数据点的权重。
- LR是参数模型,svm是非参数模型。
- 与SVM相比,LR对异常数据更加敏感。
- SVM的目标是结构风险最小化,逻辑回归目标函数是最小化先验概率。
- 在训练集较小时,SVM较适用(基于距离分类),需要对数据先做归一化;LR则需要更多的样本(基于概率分类)
- SVM只考虑支持向量(support vectors),也就是和分类最相关的少数点,去学习分类器。而逻辑回归通过非线性映射,大大减小了离分类平面较远的点的权重,相对提升了与分类最相关的数据点的权重。
8.加入松弛变量的SVM的训练误差可以为0吗?
使用SMO(序列最小优化算法)算法训练的线性分类器并不一定能得到训练误差为0的模型。这是由于优化目标改变了,并不再是使训练误差最小。